Zdravím chalani,

potreboval by som Vašu pomoc. Priznám sa Vám, že neviem ako mám pokračovať, a neviem či to vôbec mám dobré. Poradili by ste mi prosím?

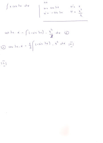
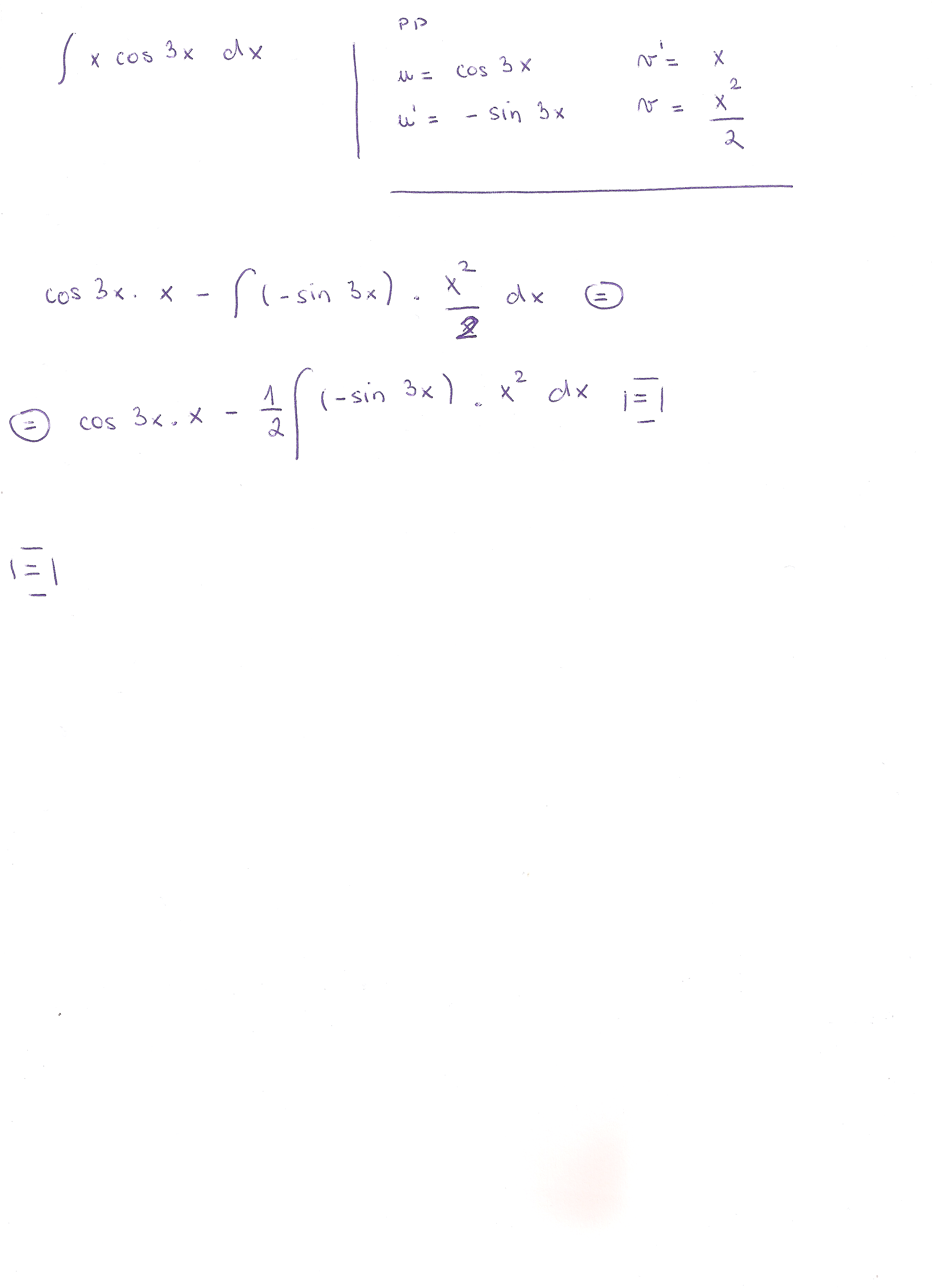
Neviem napríklad ako zistím, že už nemusím ďalej integrovať, ale mám už hotový výsledok. Ako na to prídem?

✓   Téma bylo vyřešeno.
Palino H.

Palino H.

09. 01. 2016   14:39

2 odpovědi

Palino H.
Palino H.
06.01.2016 18:51:26

Príklad, s ktorým si neviem poradiť.

Vlastimil V.
Vlastimil V.
09.01.2016 14:39:44

Ahoj, tady to máš :-) Edit: ještě by se v tom výsledku dala vytknout (1/3), ale to už je jen kosmetická úprava.

Pro napsání komentáře se musíte přihlásit.