Rovnice tečné roviny funkce

Poradíte mi někdo prosím? Vůbec nevím, jak na to.

předem díky moc

✓   Téma bylo vyřešeno.
Jaroslava K.

Jaroslava K.

28. 04. 2016   09:23

4 odpovědi

Vladimír P.
Vladimír P.
26.04.2016 22:20:20

Zdravím,

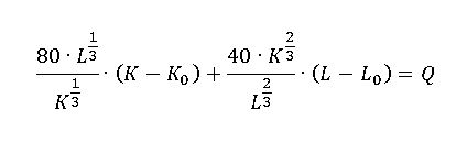
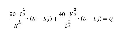
co tohle:

Marek V.
Marek V.
27.04.2016 15:34:42

To už tu bylo před pár týdny a nikdo neodpověděl, mám takovej pocit. To co napsal Vladimír je správně.

Jaroslava K.
Jaroslava K.
28.04.2016 09:09:09

Děkuji

Tomáš B.
Tomáš B.
28.04.2016 09:23:06

A nechybí tam hodnota funkce z pravé strany?

Takhle vychází, že hodnota tečné roviny v (K0, L0) je vždy 0.

Pro napsání komentáře se musíte přihlásit.