Komolý kužel s vepsanou koulí

Dobrý den,

potřeboval bych poradit s následující úlohou ze stereometrie, nějak se v tom ztrácím. Mám tam nějak moc neznámých.

Děkuji za případnou odpověď.

✓   Téma bylo vyřešeno.

Obtížnost: Střední škola
Kategorie: Stereometrie
Tomáš T.

Tomáš T.

19. 04. 2025   20:32

3 odpovědi

MILAN K.
MILAN K.
30.04.2025 03:11:47

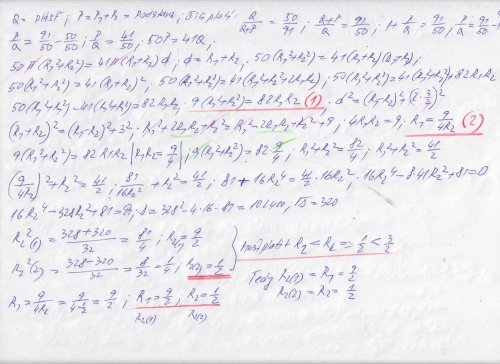
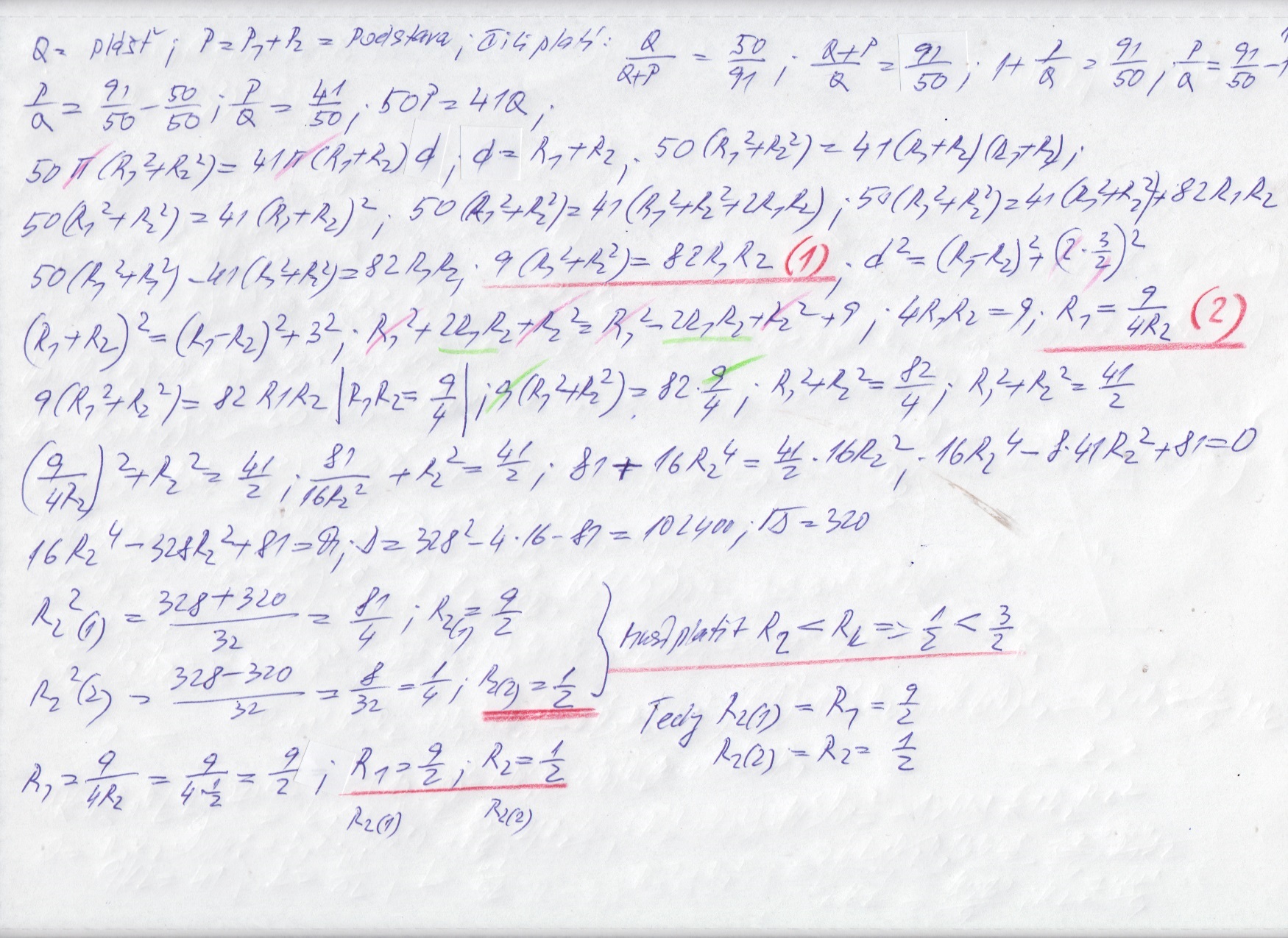
Není tam moc neznámých jen dva poloměry. Stačí si uvědomit, že výška toho kuželu je průměr té vepsané koule = 3 a dále, že boční strana kuželu je součet poloměrů dolní a horní podstavy, což je vidět z lichoběžníku, do kterého je vepsána kružnice, to celé v řezu. Z daného poměru 91 / 50 dostanete algebraickou rovnici o dvou neznámých poloměrech a ze vztahu pro povrchovou stranu v pravoúhlém trojúhelníku dostanete druhou algebraickou rovnici o dvou neznámých poloměrech. Vede to na kvartickou rovnici ale bez mezičlenů takže jen bikvadratickou a z toho dostanete jeden z poloměrů a snadno pak druhý. Tím je vše hotové. Takže dvě neznámé není opravdu příliš. To, co se Vám jeví jako moc neznámých jsou jen stále funkce těch dvou poloměrů, v součtu, v rozdílu a v součtu mocnin. Z té bikvadratické rovnice vyjdou vlastně ty poloměry oba najednou, protože jsou vzájemně svázány součinem ( na označení kořenů nezáleží, je evidentní, který musí být větší a který menší ) .

MILAN K.
MILAN K.
30.04.2025 03:16:29

k tomu:

Tomáš T.
Tomáš T.
30.04.2025 12:19:27

Jo, už to v tom vidím, moc díky za pomoc!

Pro napsání komentáře se musíte přihlásit.